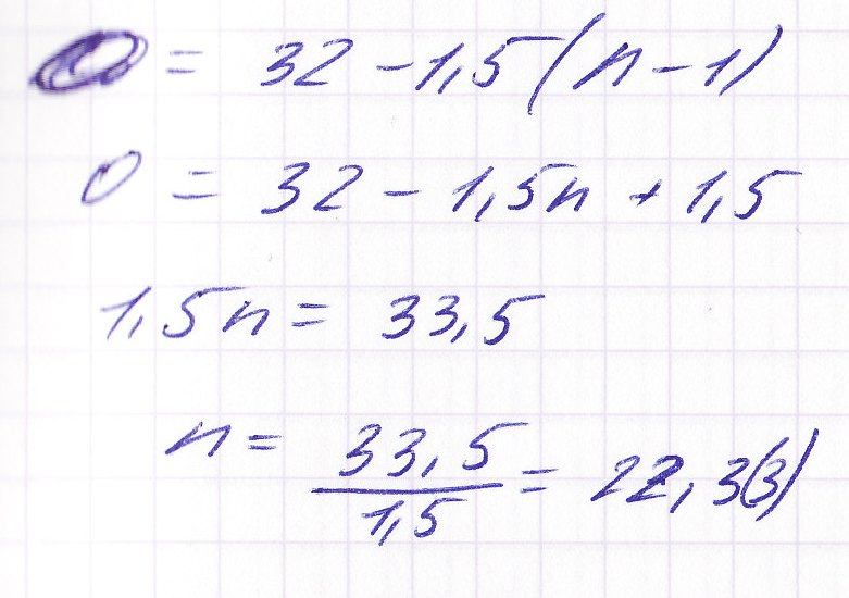
дана арифмет прогрессия (аn),у которой а1=32и d=-1.5.Является ли членом этой прогрессии число:а)0
Ответы
Ответ дал:
0
у меня получилось что нет, номер должен быть целым числом!
Приложения:
Вас заинтересует
3 года назад
3 года назад
8 лет назад
8 лет назад
11 лет назад
11 лет назад
11 лет назад