• Предмет: Математика
  • Автор: emelatakisizade2
  • Вопрос задан 3 года назад

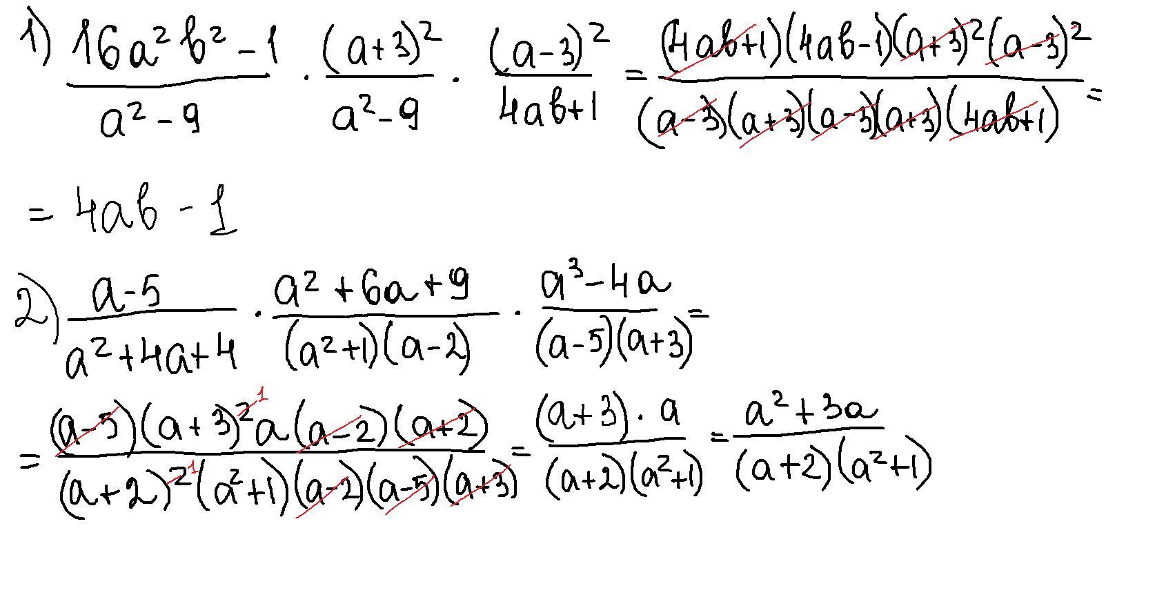
помогите пожалуйста номер пять там всего два выражения ​

Приложения:

Ответы

Ответ дал: SoniaKhomych
1

Ответ:

Надеюсь всё хорошо видно

Пошаговое объяснение:

Приложения:
Вас заинтересует