• Предмет: Алгебра
  • Автор: veronicabarashkina
  • Вопрос задан 3 года назад

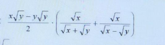
7. 4 балла] Упростите выражение
Пожалуйста помогите!!!!!​

Приложения:

ldglkva: Спасибо!

Ответы

Ответ дал: ldglkva
4

Ответ:

\displaystyle x \sqrt{y}

Объяснение:

\displaystyle   \frac{x \sqrt{y} -y \sqrt{y} }{2}*(\frac{ \sqrt{x} }{ \sqrt{x}+ \sqrt{y}  } +  \frac{ \sqrt{x} }{ \sqrt{x}- \sqrt{y}  }  )=x \sqrt{y} \\\\\\1) \;\;\;\frac{ \sqrt{x} }{ \sqrt{x}+ \sqrt{y}  } +  \frac{ \sqrt{x} }{ \sqrt{x}- \sqrt{y}  } =  \frac{ \sqrt{x}( \sqrt{x}- \sqrt{y}  )+ \sqrt{x} ( \sqrt{x} + \sqrt{y} ) }{( \sqrt{x} + \sqrt{y} )( \sqrt{x}- \sqrt{y}  )}=\\\\\\ =\frac{x- \sqrt{xy}+x+ \sqrt{xy}  }{x-y} = \frac{2x}{x-y}

\displaystyle 2) \;\;\; \frac{x \sqrt{y} -y \sqrt{y} }{2}*\frac{2x}{x-y} = \frac{ \sqrt{y}(x-y) }{2} *\frac{2x}{x-y}=x \sqrt{y}

Применила правила:

- формула разности квадратов

\displaystyle ( \sqrt{x} + \sqrt{y})( \sqrt{x} - \sqrt{y})=( \sqrt{x})^{2}  -(\sqrt{y})^{2} = x-y

- действия с корнями

\displaystyle  \sqrt{x} * \sqrt{y} = \sqrt{xy}

- приведение к общему знаменателю, раскрытие скобок, вынесение за скобку, приведение подобных, сокращение дробей.

Вас заинтересует