• Предмет: Алгебра
  • Автор: aizadasagyndykova813
  • Вопрос задан 3 года назад

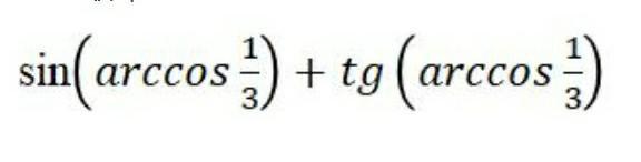
пожалуйста помогите​

Приложения:

Аноним: Решим все очень быстро + хорошие отзывы!!!
https://www.avito.ru/moskva/predlozheniya_uslug/reshenie_zadach_po_matematike_i_fizike_1920524902

Ответы

Ответ дал: m11m
1

Ответ:

Объяснение:

!!!!!!!!!!!!!!!!!!!!!!!!!!!!!!!

Приложения:
Вас заинтересует