Ответы
Ответ дал:
1
Ответ:
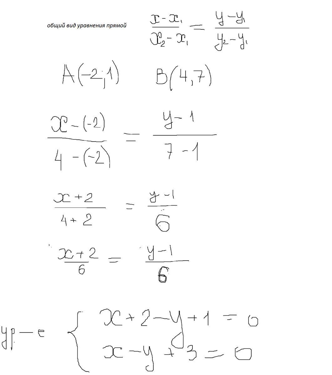
А(-2; 1) и B(4; 7) составить уравнение прямой AB
Объяснение:
Приложения:

Вас заинтересует
2 года назад
2 года назад
2 года назад
2 года назад
7 лет назад
7 лет назад
9 лет назад