• Предмет: Алгебра
  • Автор: fukkacymi228
  • Вопрос задан 3 года назад

Решите пж, а то сложна

Приложения:

Ответы

Ответ дал: mmb1
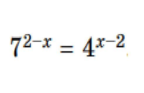
1

a^-n = 1/a^n

a^0 = 1  (a≠0)

a^n*b^n = (ab)^n

7^(2-x) = 4^(x-2)

1/7^(x - 2) = 4^(x - 2)

1 = 7^(x - 2)*4^(x - 2)

28^(x - 2) = 28^0

x - 2 = 0

x = 2


fukkacymi228: спасибо
Вас заинтересует