• Предмет: Алгебра
  • Автор: Lidagirl
  • Вопрос задан 3 года назад

Пожалуйста помогите
У меня к сожалению не так много баллов.
Но я надеюсь вы поможите мне

Приложения:

Ответы

Ответ дал: table123
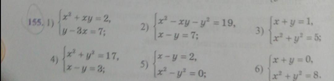
1

Ответ: (-2;1),  (1/4;  7 3/4)

Объяснение:

1) x^2 +xy=2  u  y-3x=7,  все просто, выражаешь любую переменную

из простого уравнения и подставляешь в другое.Здесь удобно

выразить  (у) из 2-го,  y=7+3x,  подставляем,  x^2 +x(7+3x)=2,

x^2+7x+3x^2-2=0,  4x^2+7x-2=0,  D=49-4*4*(-2)=49+32=81,

x1=(-7-9)/8=-2,  x2=(-7+9)/8 =1/4,   а  у=7+3х,  подставим сюда x1  u  x2,

y1=7+3*(-2)=7-6=1,  y2=7+3* 1/4 =7+3/4=7 3/4

 и по этому образцу дальше, успехов !


Lidagirl: Большое спасибо
wtbqbtbywttv: Помогите пожалуйста с этим заданием! https://znanija.com/task/39734080?utm_source=android&utm_medium=share&utm_campaign=question
Вас заинтересует