• Предмет: Алгебра
  • Автор: steampavel98
  • Вопрос задан 3 года назад

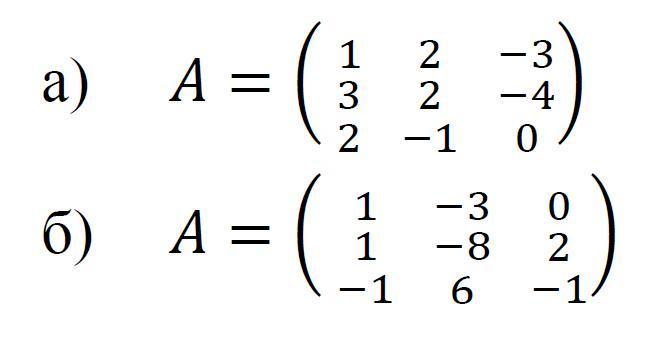
Обратная матрица
С проверкой

Приложения:

Ответы

Ответ дал: auf16
0

Ответ:

иди учиться а не через программы делать

Вас заинтересует