• Предмет: Математика
  • Автор: Аноним
  • Вопрос задан 3 года назад

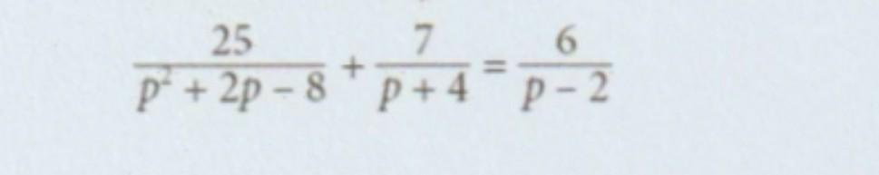
решите пример пожалуйста​

Приложения:

Ответы

Ответ дал: varenach14
1

Ответ:

p = 13

Пошаговое объяснение:

сначала нужно приравнять к нулю уравнение, получаем: 25÷(p² + 2p - 8) + 7÷(p+4) - 6÷(p-2) = 0

Выражения, которые даны в скобках, запиши в знаменатель, а знак  деления замени дробной чертой, то есть запиши их в виде дроби.

Далее приводим всё к общему знаменателю. В первой дроби нужно знаменатель привести к нулю(для того, что бы разложить на множители).

Получаем: p² + 2p - 8 = 0

И решаем, как обычное квадратное уравнение: D = b² - 4ac = 4 + 32 = 36

p1, 2 = -b ± √D ÷(2а) = -2 ± 6 делённое на 2 (запиши опять же в виде дроби)

Итак, корни равны p1 = 2, p2 = -4

в следствии чего мы разложили выражение p² + 2p - 8 = (p - 2)(p + 4)

переходим к самому заданию: 25÷(p² + 2p - 8) + 7÷(p+4) - 6÷(p-2) = 0

Знаменатели представим в одном виде, и это будет: (p - 2)(p + 4)

Соответственно, получаем выражение 25 + 7(p - 2) - 6(p + 4) = 0

Дальше решаем, как неполное квадратное уравнение: 25 + 7p - 14 - 6p - 24 = 0

-13 + p = 0

p = 13

Вас заинтересует