• Предмет: Математика
  • Автор: flash77779
  • Вопрос задан 3 года назад

Логи. Матеша. Часть 2. Срочно. 100 балов. Задание на фото.

Приложения:

Ответы

Ответ дал: casper7777
1

Ответ:

Пошаговое объяснение:

Решено !

Приложения:

flash77779: Спасибо
flash77779: помоги и это плиз:
flash77779: https://znanija.com/task/39786340
flash77779: эт первая часть
flash77779: ссылка на первую часть
Ответ дал: nikebod313
1

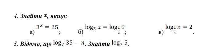
4. ~ 1) ~ 3^{x} = 25; ~~~ x = \log_{3}25

2) ~ \log_{3}x = \log_{\tfrac{1}{3} }9; ~~~ \log_{3}x = \log_{3^{-1}}9; ~~~ \log_{3}x = -\log_{3}9;

\log_{3}x = \log_{3}9^{-1}; ~~~ \log_{3}x=\log_{3}\dfrac{1}{9} ; ~~~ x = \dfrac{1}{9}

3) ~ \log_{\tfrac{1}{4} }x = 2; ~~~ x = \left(\dfrac{1}{4} \right)^{2} = \dfrac{1}{16}

5. ~ \log_{7}35 = n; ~~~ \log_{7}(7 \cdot 5) = n; ~~~ \log_{7}7 + \log_{7}5 = n;

1 + \log_{7}5 = n; ~~~ \log_{7}5 = n - 1

Ответ: \log_{7}5 = n - 1

Вас заинтересует