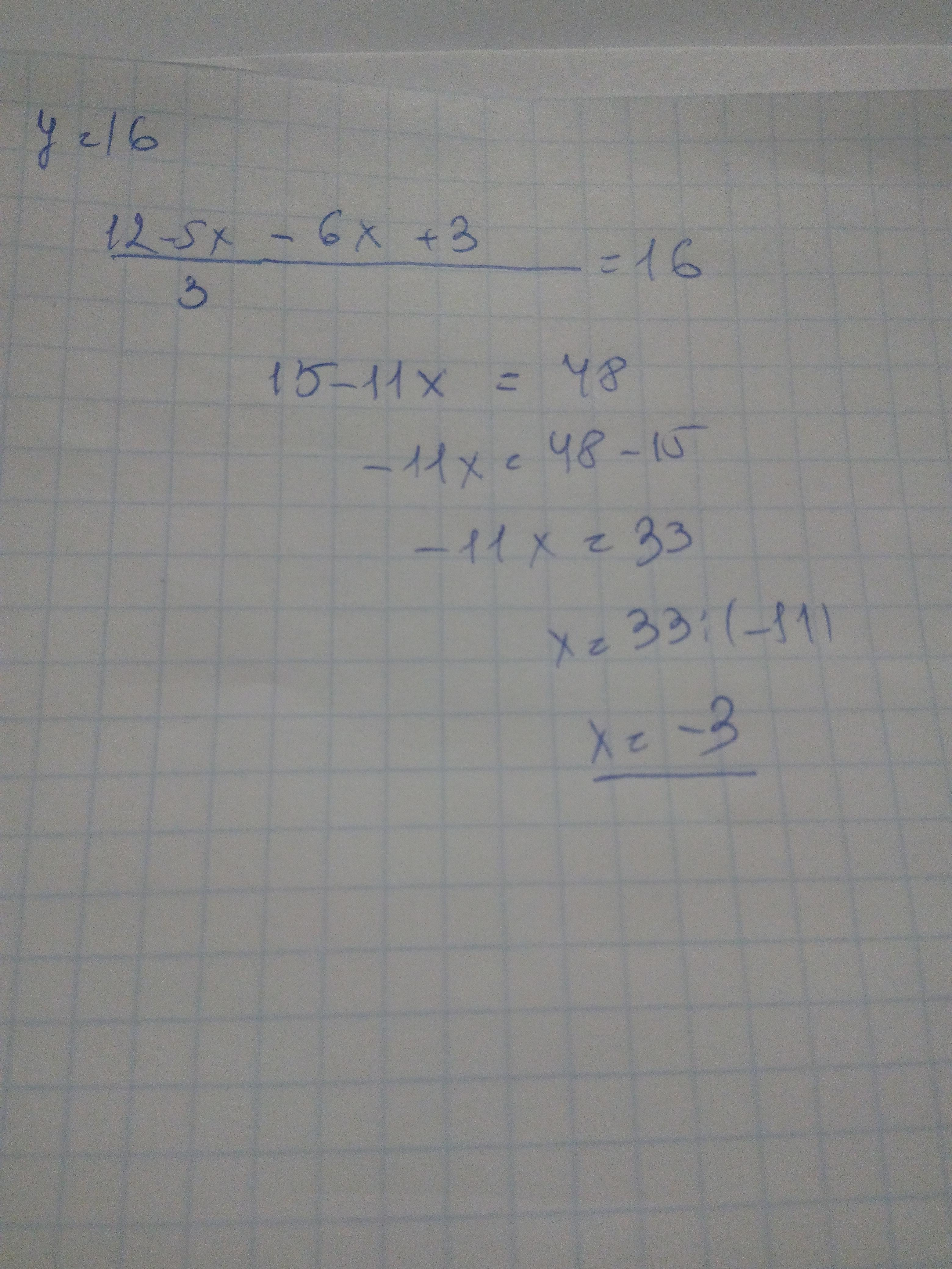
Функция задана формулой (фото)
Найдите значение аргумента, при котором значение функции равно 16.
Приложения:

Ответы
Ответ дал:
1
Ответ:в файле
Объяснение:
Приложения:

Вас заинтересует
2 года назад
2 года назад
2 года назад
7 лет назад
7 лет назад
9 лет назад
9 лет назад