• Предмет: Математика
  • Автор: keshubai01
  • Вопрос задан 3 года назад

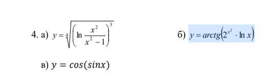
1) y = sin 3x,
У′′′ =?
2)xy^2 + sinxy = 1
пожалуйста очень нужна помощь

Приложения:

Ответы

Ответ дал: Miroslava227
0

Ответ:

решение на фотографиях

Приложения:
Вас заинтересует