• Предмет: Алгебра
  • Автор: kristigon0909
  • Вопрос задан 3 года назад

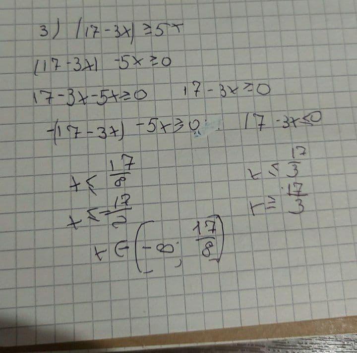
Срочно! Помогите, пожалуйста, решить 5 рациональных неравенств

Приложения:

Ответы

Ответ дал: Denifix
1

Відповідь:

Пояснення:

Приложения:
Вас заинтересует