• Предмет: Алгебра
  • Автор: sellenaa
  • Вопрос задан 3 года назад

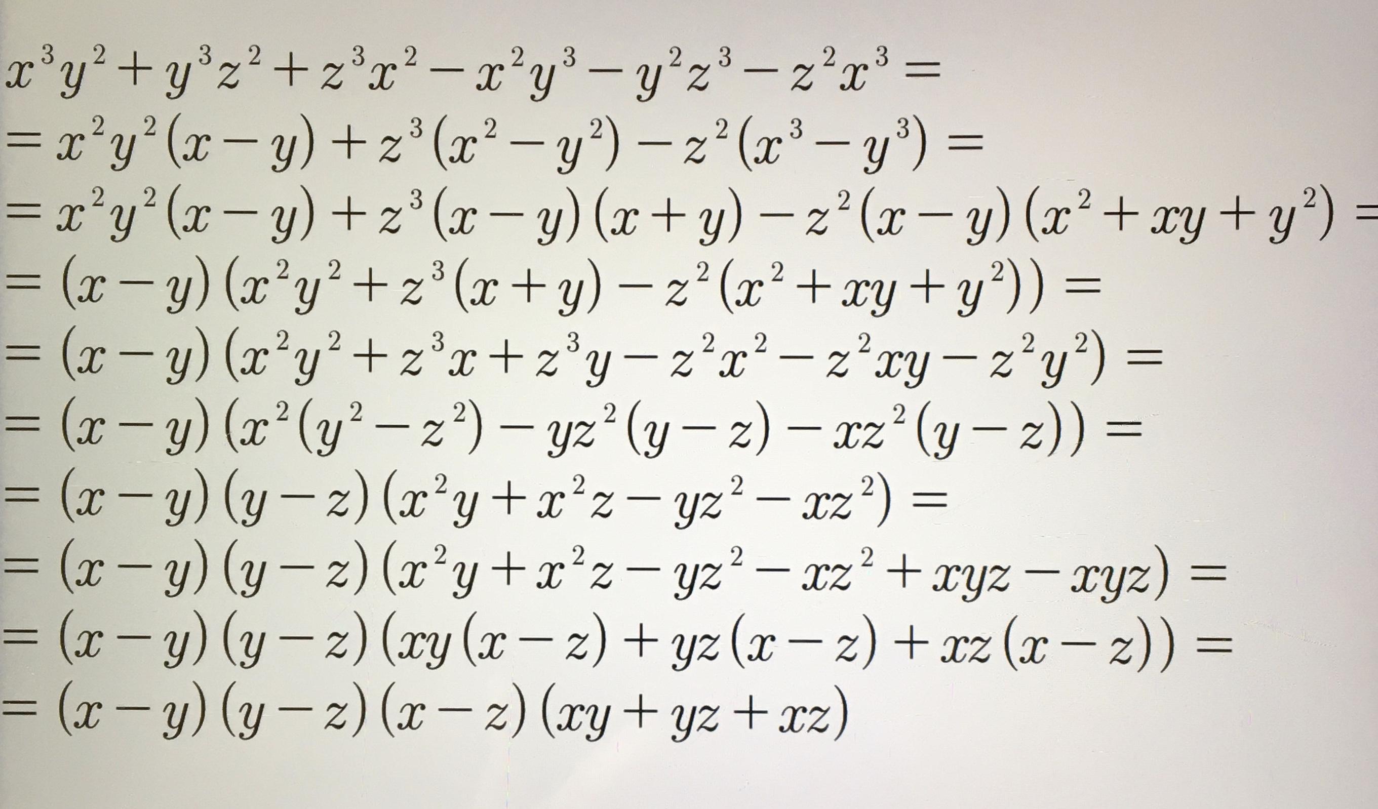
Разложить на множители (подробно)
x^3y^2+y^3z^2+z^3x^2-x^2y^3-y^2z^3-z^2x^3

Ответы

Ответ дал: tamarabernukho
1

Ответ:

Объяснение:

..............................

Приложения:

aleksoref: Посмотрите задачу, пожалуйста

https://znanija.com/task/39818651
Вас заинтересует