Ответы
Ответ дал:
0
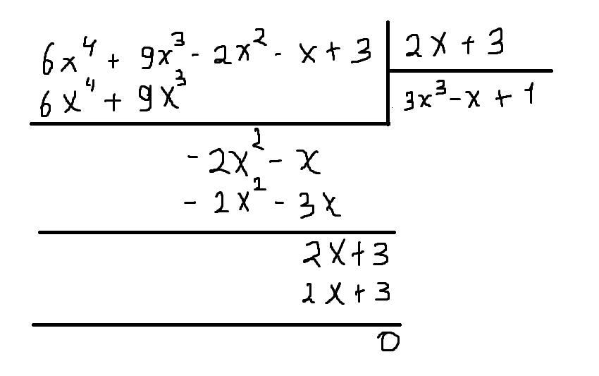
Ответ: Все решений указано в прикрепленном скрине, если что не понятно спрашивай.
Приложения:

Вас заинтересует
2 года назад
2 года назад
2 года назад
7 лет назад
7 лет назад