• Предмет: Алгебра
  • Автор: annavishnevskaya666
  • Вопрос задан 3 года назад

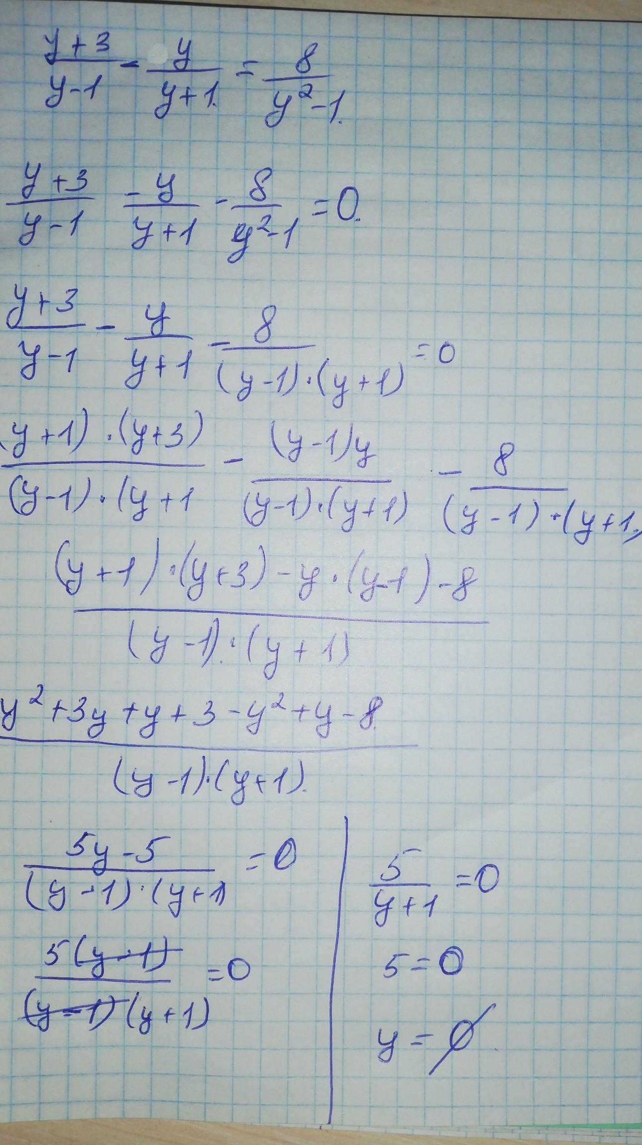
Решите уравнение y+3/y-1 - y/y+1=8/y²-1
/ - дробь ​

Ответы

Ответ дал: yyananar
1

У+3 / у-1 - у/ у+1 - 8/у²-1 =0

(у+1)(у+3) -у(у-1) - 8 =0

(у-1)(у+1)

у²+3у+у+3-у²+у-8 =0

(у-1)(у+1)

5у+5 = 0

(у-1)(у+1)

5(у+1) =0

(у-1)(у+1)

5 / у-1 = 0

у-1 ≠ 0

у≠1

Объяснение:

простите если не правильно

Ответ дал: stepanisevaana87
1

Ответ:

Отвееет на фооотооооооооо

Приложения:

annavishnevskaya666: Большое спасибо!
Вас заинтересует