• Предмет: Математика
  • Автор: lusha45
  • Вопрос задан 3 года назад

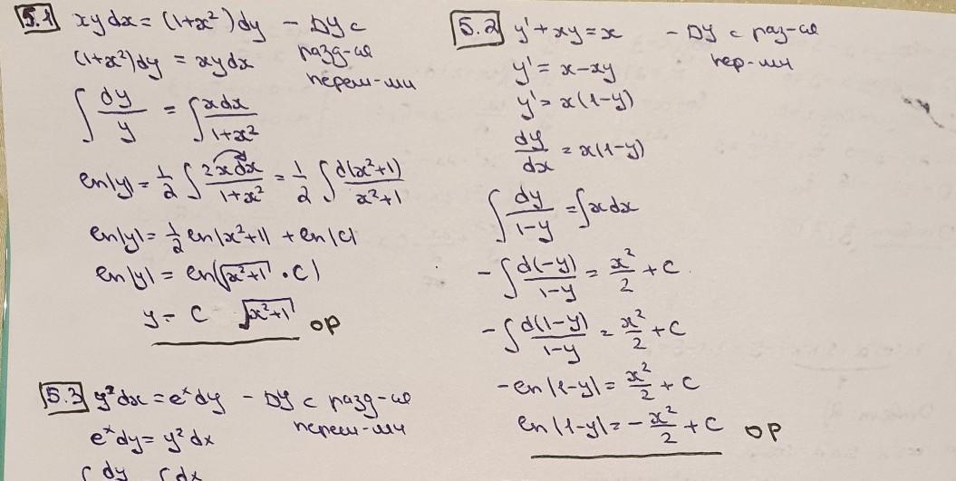
помогите решить, пожалуйста, прикладная математика...
только распишите, пожалуйста, подробно, максимально подробно, пожалуйста

Приложения:

Ответы

Ответ дал: Miroslava227
0

Ответ:

решение на фотографиях

Приложения:

lusha45: большое спасибо!!!!
Вас заинтересует