• Предмет: Математика
  • Автор: Гуля551
  • Вопрос задан 3 года назад

Помогите пожалуйста с математикой только 5 вариант

Приложения:

Miroslava227: а 5 вариант - это значит только 5 номер решать?
Гуля551: Да
Гуля551: Посмотрите пожалуйста ещё один вопрос
Гуля551: Там тоже только 5 нужно решить
Гуля551: Там уже другой вопрос

Ответы

Ответ дал: Miroslava227
1

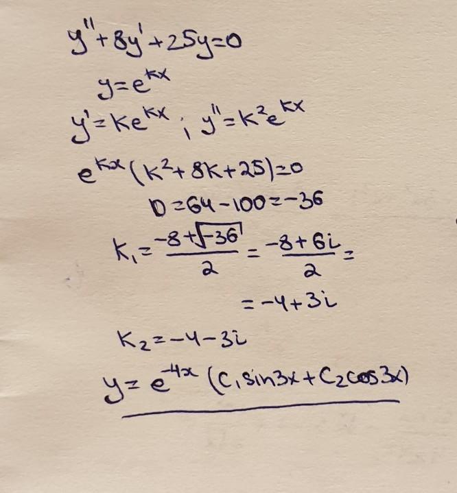
Ответ:

решение на фотографии

Приложения:
Вас заинтересует