Ответы
Ответ дал:
1
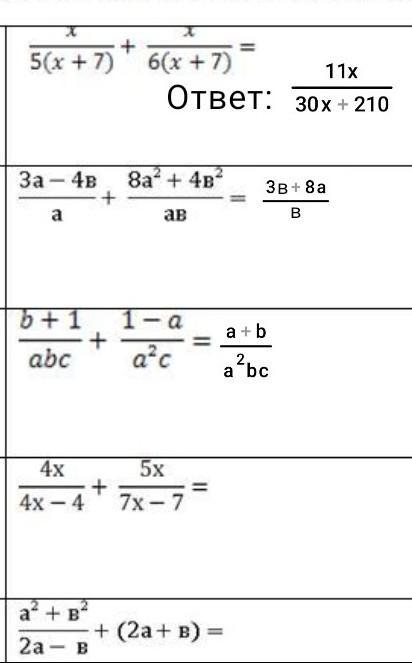
последний не поняла))
Приложения:

Вас заинтересует
2 года назад
2 года назад
2 года назад
7 лет назад
7 лет назад