• Предмет: Математика
  • Автор: oi527919
  • Вопрос задан 3 года назад

решите, срочно, пожалуйста​

Приложения:

snezanamovsisan: 1-1 2-3 3-2

Ответы

Ответ дал: alnoname
0

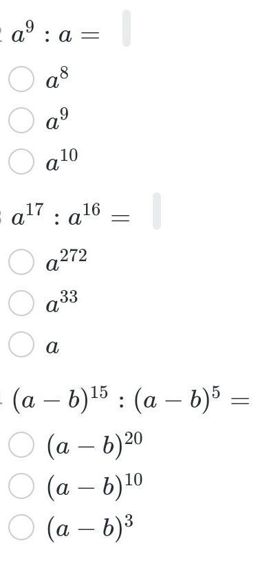
Ответ: а в 8 ;

а ;

( а - b ) в 10

Пошаговое объяснение:

вычитаем степени

Ответ дал: palkonina
0

Ответ:

1)а^8

2)a

3)(a-b)^10

Пошаговое объяснение:

1)9-1=8

2)17-16=1

3)15-5+10

Вас заинтересует