• Предмет: Математика
  • Автор: Slivki3
  • Вопрос задан 3 года назад

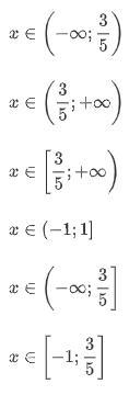
первая картинка - неравенство, которое нужно решить, вторая - варианты ответа

Приложения:

Ответы

Ответ дал: krivorotko007
0

Ответ:

x принадлежит [3/5; + бесконечность)

Пошаговое объяснение:

Вас заинтересует