• Предмет: Алгебра
  • Автор: svotrina530
  • Вопрос задан 3 года назад

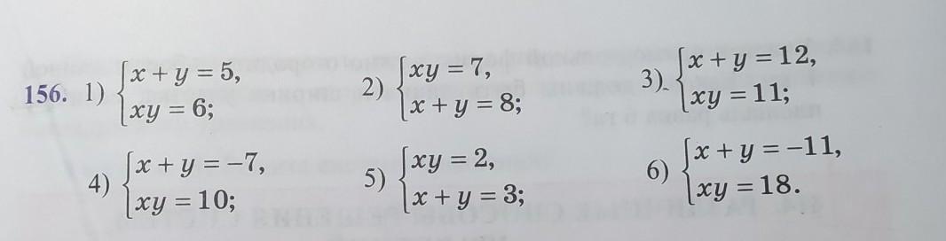
Помогите пожалуйста это срочно :'( Плиз​

Приложения:

Ответы

Ответ дал: Evgenia6556
0

Ответ:

прости я не могу записать сюда но могу порекомендувать приложения фотомас там ты найдешь ответ , там тебе будет проще

Объяснение:

Вас заинтересует