• Предмет: Химия
  • Автор: korshikovcyril
  • Вопрос задан 3 года назад

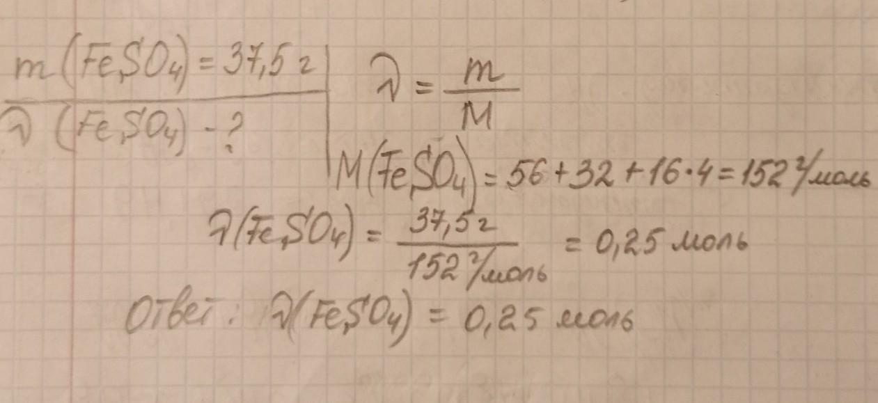
Рассчитайте количества вещества соответствующего сульфата железа (II) FeSO4 массой 37,5 грамм. (Ответ до сотых)


annadenisovva: АВХЗХАЗХВА ОПАНА

Ответы

Ответ дал: shnvlada1508
1

Ответ:

количества вещества равно 0,25 моль

Приложения:
Вас заинтересует