• Предмет: Алгебра
  • Автор: romciktop
  • Вопрос задан 3 года назад

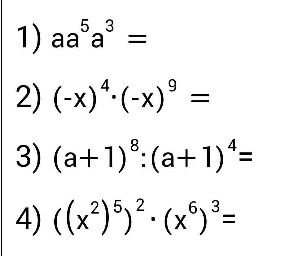
ребята помогите пожалуйста решить примеры ​

Приложения:

Ответы

Ответ дал: erasulshakir86
1

Ответ:

1)аа5а3=а9

2)(-x)4×(-x)9=x13

3)=а2 1 12

Объяснение:

4 непонял 3 я написал сразу решения


romciktop: напиши 3 правильно
romciktop: пожалуйста
romciktop: я не понял
erasulshakir86: 3 напишеш как паказына в воте и = тут напшеш ответ
Вас заинтересует