• Предмет: Математика
  • Автор: neiten6
  • Вопрос задан 3 года назад

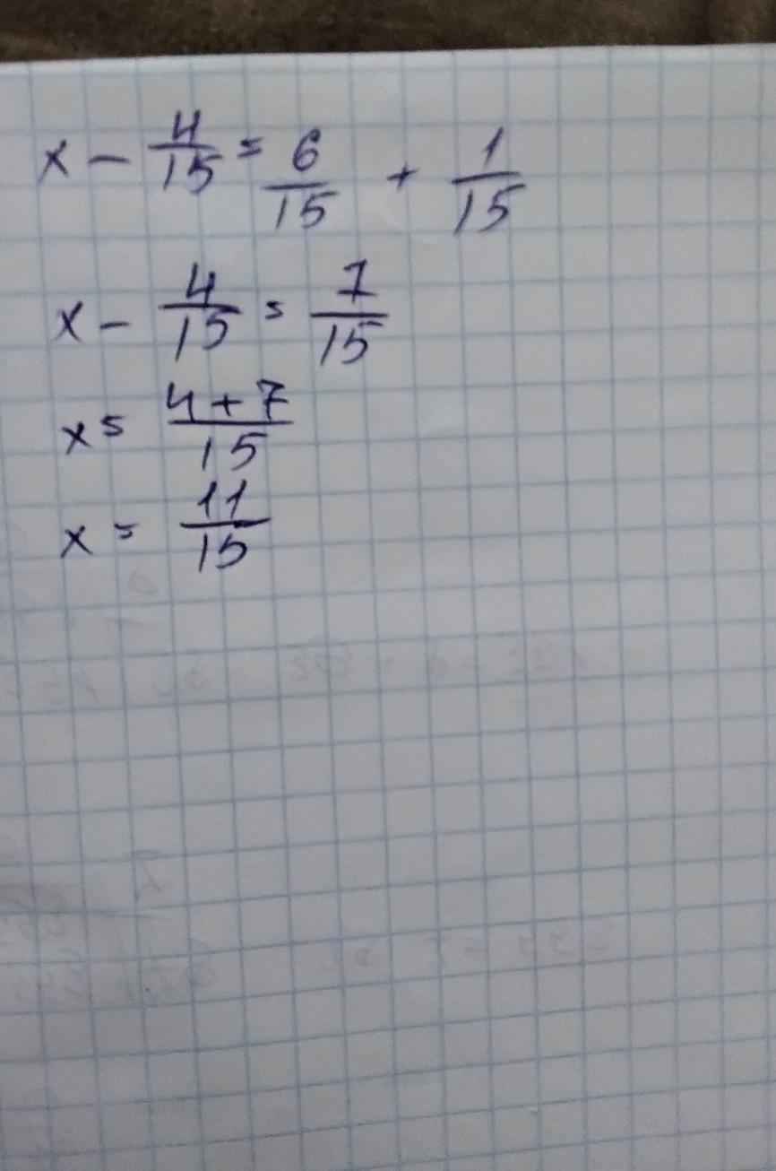
Реши уравнение.
х - 4/15 = 6/15 + 1/15
/- дробь.​

Ответы

Ответ дал: Аноним
59

Ответ:

........ответ во вложении

Приложения:

terlikbaevaintizar: спасибо
rorobot81: 11/15?
ti101230: Да
Аноним: спс
Аноним: спс
Аноним: спс
Аноним: спс
artyr20101804: какой ответ теперь
Аноним: Спасибо правельно!
cockaz: Неправельно спс
Вас заинтересует