• Предмет: Математика
  • Автор: tgvozdarev666
  • Вопрос задан 3 года назад

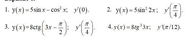
ВЫЧИСЛЕНИЕ ПРОИЗВОДНЫХ ТРИГОНОМЕТРИЧЕСКИХ И
ОБРАТНЫХ ФУНКЦИЙ
помогите !!!!

Приложения:

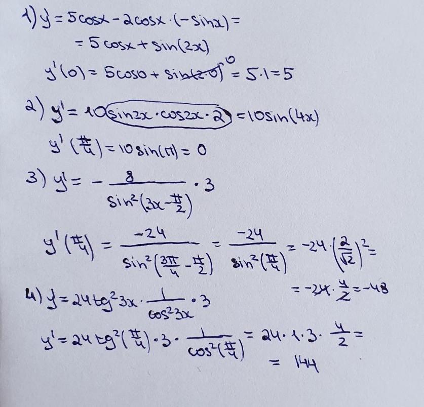
Ответы

Ответ дал: Miroslava227
1

Ответ:

решение на фотографии

Приложения:
Вас заинтересует