Ответы
Ответ дал:
0
Ответ:
между 0 и 1
Пошаговое объяснение:
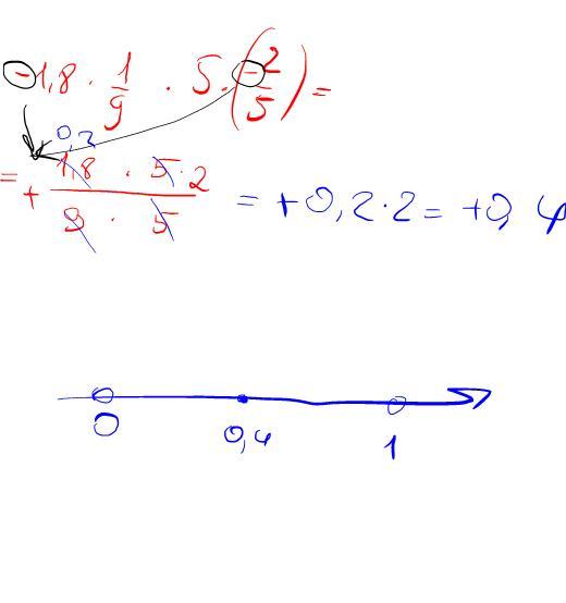
на фотографии
Приложения:

Weruytiop:
черт, минус забыла а как удалить..
Ответ дал:
0
между числами 0 и 1 расположены значения данных выражений.
Вас заинтересует
2 года назад
2 года назад
2 года назад
2 года назад
7 лет назад
7 лет назад
9 лет назад