• Предмет: Геометрия
  • Автор: aleksoref
  • Вопрос задан 3 года назад

Здравствуйте, помогите пожалуйста подробно расписать решение

Только 2 подпункт 6,12​

Приложения:

Ответы

Ответ дал: ivanproh1
4

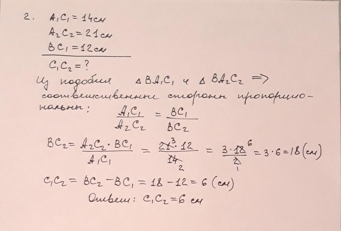
Ответ:

С1С2 = 6см.

Объяснение:

Угол АВС (пересекающиеся прямые АВ и ВС) определяет ЕДИНСТВЕННУЮ плоскость АВС, которая пересекает параллельные, плоскости. Следовательно, прямые А1С1 и А2С2 параллельны и треугольники А2ВС2 и А1ВС1 подобны с коэффициентом подобия

k = A2C2/A1C1 = 21/14 = 3/2. Из подобия имеем:

BC2 = k·BC1 = (3/2)·12 = 18 cм.

С1С2 = ВС2 - ВС1 = 18 - 12 = 6 см.

Ответ дал: sharofat0
2

Ответ:

Свойства параллельных плоскостей.

Приложения:
Вас заинтересует