• Предмет: Математика
  • Автор: hachapyribro
  • Вопрос задан 3 года назад

Тело проходит 5 одинаковых участков пути,
имея различные скорости: первый участок – со скоростью 1 м/с, а скорость
каждого последующего равна сумме скоростей двух предыдущих участков.
Чему равно время движения тела, если первую половину пути тело шло
60,75 с?

Ответы

Ответ дал: xERISx
3

По условию :    S_1=S_2=S_3=S_4=S_5=\dfrac S5

Скорость на участке пути до первого неизвестна, эта скорость понадобится, чтобы посчитать скорость на втором участке пути.

Пусть скорость  v₀ = 0 м/с.

На первом участке:  v₁ = 1 м/с.

На втором участке:  v₂ = v₀ + v₁ = 0 м/с + 1 м/с = 1 м/с.

На третьем участке: v₃ = v₁ + v₂ = 1 м/с + 1 м/с = 2 м/с.

На четвёртом участке:  v₄ = v₂ + v₃ = 1 м/с + 2 м/с = 3 м/с.

На пятом участке:  v₅ = v₃ + v₄ = 2 м/с + 3 м/с = 5 м/с.

Из равенства участков пути находим отношение времени для каждого участка пути.

S_1=S_2;\ \ \ v_1t_1=v_2t_2;\ \ \ 1\cdot t_1=1\cdot t_2;\ \ \ t_2=t_1\\\\S_1=S_3;\ \ \ v_1t_1=v_3t_3;\ \ \ 1\cdot t_1=2\cdot t_3;\ \ \ t_3=\dfrac{t_1}2\\\\S_1=S_4;\ \ \ v_1t_1=v_4t_4;\ \ \ 1\cdot t_1=3\cdot t_4;\ \ \ t_4=\dfrac{t_1}3\\\\S_1=S_5;\ \ \ v_1t_1=v_5t_5;\ \ \ 1\cdot t_1=5\cdot t_5;\ \ \ t_5=\dfrac{t_1}5

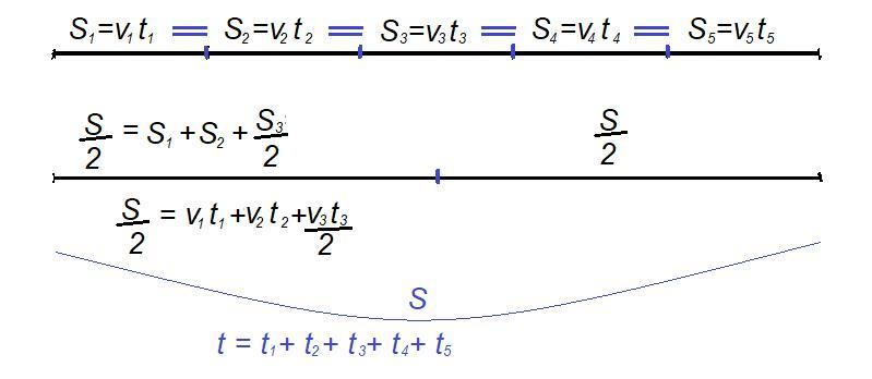
Так как участки пути одинаковые, то первая половина пути состоит из всего первого участка, всего второго участка и половины третьего участка.

\dfrac S2=S_1+S_2+\dfrac 12\cdot S_3

Время прохождения первой половины пути:

t_{1/2}=\dfrac {S_1}{v_1}+\dfrac{S_2}{v_2}+\dfrac 12\cdot \dfrac {S_3}{v_3}=t_1+t_2+\dfrac 12\cdot t_3

По условию:

t_{1/2}=60,75\\\\t_1+t_2+\dfrac 12\cdot t_3=60,75\\\\t_1+t_1+\dfrac 12\cdot \dfrac{t_1}2=60,75\\\\\dfrac94\cdot t_1=60,75;\ \ \ \ t_1=60,75\cdot \dfrac 49=27\ c

Время движения тела на всём пути:

t=t_1+t_2+t_3+t_4+t_5=\\\\=t_1+t_1+\dfrac {t_1}2+\dfrac{t_1}3+\dfrac{t_1}5=\\\\=t_1\bigg(1+1+\dfrac 12+\dfrac 13+\dfrac 15\bigg)=\\\\=t_1\cdot \dfrac{30+30+15+10+6}{30}=t_1\cdot \dfrac{91}{30}\\\\t=27\cdot\dfrac{91}{30}=\dfrac{9\cdot 91}{10}=\dfrac{819}{10}=81{,}9\;c

Ответ: 81,9 с.

Приложения:
Вас заинтересует