• Предмет: Алгебра
  • Автор: zakharbatov05
  • Вопрос задан 3 года назад

Помогите решить просто не шарю

Приложения:

Ответы

Ответ дал: seniseviyorim
1

Ответ:

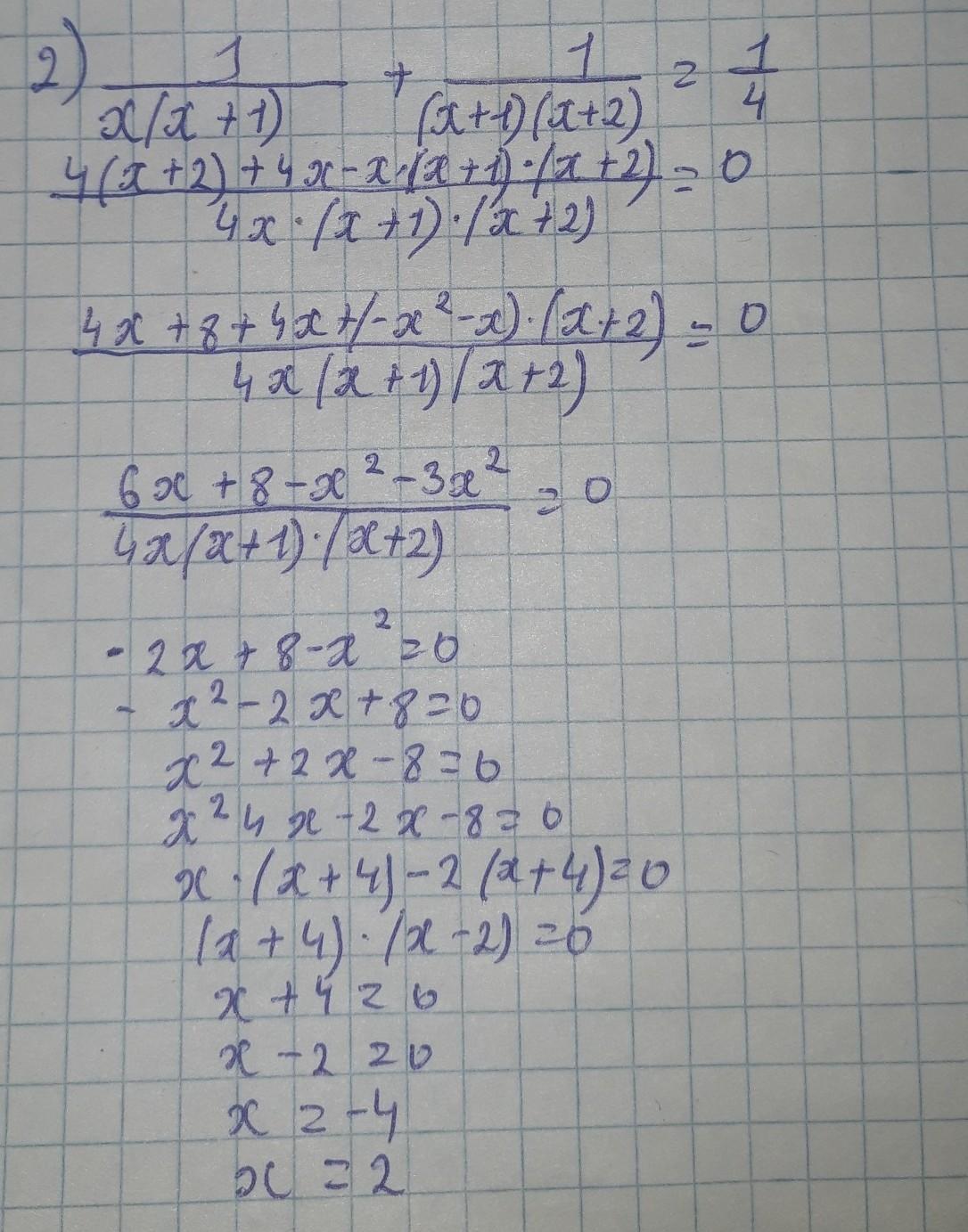
вот решение второе кратко писала

Приложения:
Вас заинтересует