• Предмет: Математика
  • Автор: Romashka240288
  • Вопрос задан 3 года назад

Помогите пожалуйста очень нужнопрошу у вас у икспертов

Приложения:

Ответы

Ответ дал: aluyysee6
0

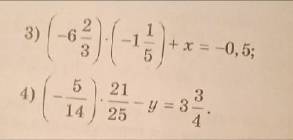
3. -20/3 × (-6/5) + х = -0,5

4/3 × 6 + х = -0,5

4 × 2 + х = -0,5

8+х = -0,5

х= -0,5-8

х = -8,5


aluyysee6: 4. -1/14 × 21/5 - у = 3 3/4. -1/2 × 3/5 - у = 15/4. -3/10 - у = 15/4. -у = 15/4 + 3/10. -у= 81/20. у = -4 1/20
Ответ дал: iramazurk
1

Ответ:

Эксперт)))

Пошаговое объяснение:

3.

-20/3 * (-6/5) + х = -0,5

120/15 + х = -0,5

8 + х = -0,5

х = -0,5 - 8

х = -8,5

4.

Сокращаем дроби при умножении:

-1/2 * 3/5 - у = 3 3/4

-3/10 - у = 3 3/4

-у = 3 3/4 + 3/10

-у = 3 15/20 + 6/20

-у = 3 21/20

-у = 4 1/20

у = -4 1/20


Аноним: Здравствуйте. В прошлый раз вы мне помогли очень.. поможете сейчас? https://znanija.com/task/40098174
Вас заинтересует