• Предмет: Алгебра
  • Автор: 210108210108
  • Вопрос задан 3 года назад

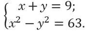
Розв’яжіть систему рівнянь:

Приложения:

Ответы

Ответ дал: MatemaT123
5

Ответ:

(8; 1)

Объяснение:

\left \{ {{x+y=9}; \atop {x^{2}-y^{2}=63}.} \right. \Leftrightarrow \left \{ {{x+y=9}; \atop {(x-y)(x+y)=63}.} \right. \Leftrightarrow \left \{ {{x+y=9}; \atop {9(x-y)=63}.} \right. \Leftrightarrow \left \{ {{x+y=9}; \atop {x-y=7}.} \right. \Leftrightarrow \left \{ {{x+x+y-y=9+7}; \atop {x-y=7}.} \right. \Leftrightarrow

\Leftrightarrow \left \{ {{2x=16}; \atop {x-y=7}.} \right. \Leftrightarrow \left \{ {{x=8}; \atop {8-y=7}.} \right. \Leftrightarrow \left \{ {{x=8}; \atop {y=1}.} \right. ;

(8; 1);

Вас заинтересует