• Предмет: Алгебра
  • Автор: petrochenkovgg
  • Вопрос задан 3 года назад

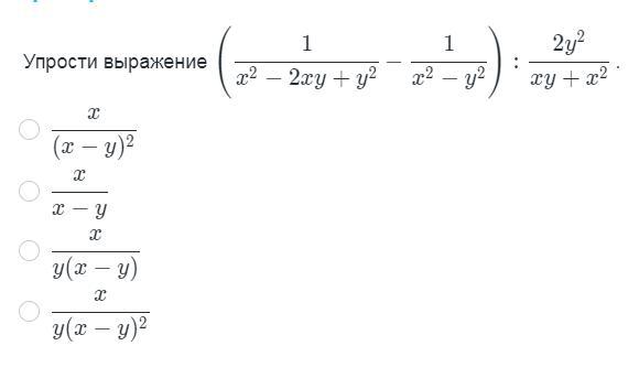
подскажите ответ пожалуйста

Приложения:

Ответы

Ответ дал: zhanna20022002
0

если я права то скорее всего ответ последний

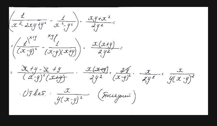
Ответ дал: abdibekovaarrai
0
Здесь подробное решение задачи
Приложения:
Вас заинтересует