Ответы
Ответ дал:
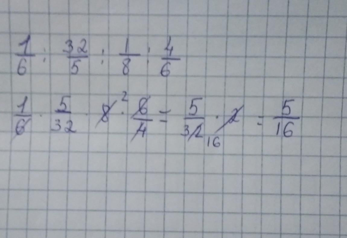
1
Я думаю это правильно, старалсякак могла
Приложения:

Ответ дал:
2
Ответ: .
Пошаговое объяснение: 1) .
2) .
3) .
Вас заинтересует
2 года назад
2 года назад
7 лет назад
7 лет назад
9 лет назад
9 лет назад