• Предмет: Физика
  • Автор: levaskin123
  • Вопрос задан 3 года назад

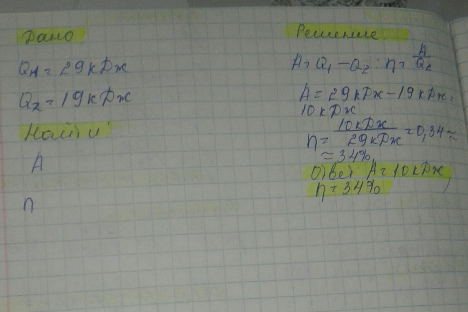
Нагреватель отдаёт тепловому двигателю количество теплоты, равное 29 кДж. За то же время тепловой двигатель отдаёт холодильнику количество теплоты, равное 19 кДж. Найди работу, совершённую тепловым двигателем.

Ответ:
кДж.

Ответы

Ответ дал: alekseenkodina351
8

Ответ:

......................

Приложения:
Вас заинтересует