• Предмет: Химия
  • Автор: Аноним
  • Вопрос задан 3 года назад

РЕШИТЕ ПЖ УМОЛЯЮ ОЧЕНЬ СРОЧНО ЗА ЭТО ДАМ 50 БАЛЛОВ​

Приложения:

Ответы

Ответ дал: Vpered5
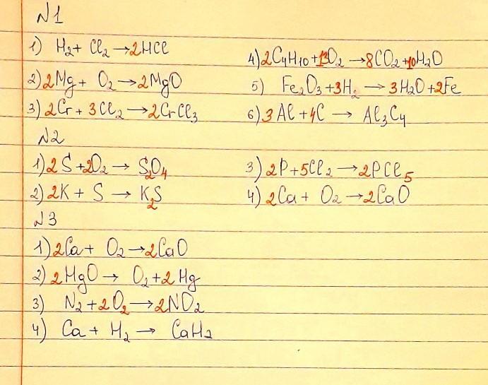
1

Ответ:

то, что я выделила красным цветом, это коэффициенты и индексы.

подробное решение в фото...

Приложения:

Аноним: спасибо большое!!!!
Vpered5: пожалуйста)
Вас заинтересует