• Предмет: Алгебра
  • Автор: grisamisin951
  • Вопрос задан 3 года назад

Пожалуйсто срочно прошу!!!!!!!!?​

Приложения:

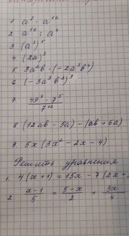
Аноним: 1. a/24

2. a/12

3. a/15

4. 8a/3

5. -6a/5b5

6. -27a/9b/6

Ответы

Ответ дал: violettazharenkova76
0

Ответ:

1. a/24

2. a/12

3. a/15

4. 8a/3

5. -6a/5b5

6. -27a/9b/6

Вас заинтересует