• Предмет: Математика
  • Автор: Аноним
  • Вопрос задан 3 года назад

Решите пжпжпж очеень нужно​

Приложения:

Ответы

Ответ дал: J04
0

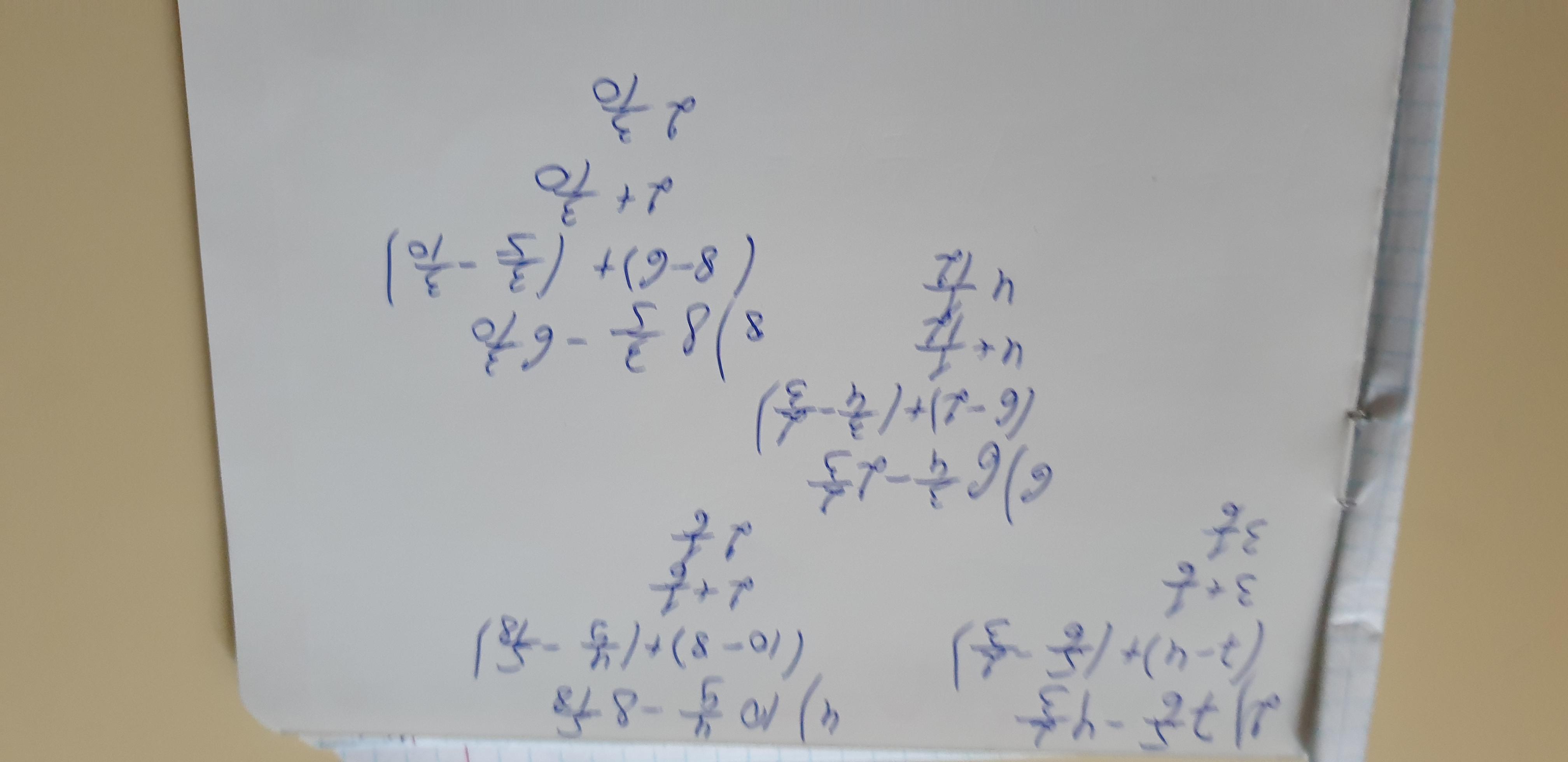
Ответ:

2) 3 1/6

4) 2 1/6

6) 4 1/12

8) 2 3/10

Пошаговое объяснение:

/ - дробь

Ответ дал: lilyfedorova2
0

Ответ:

Фото

Пошаговое объяснение:

Приложения:
Вас заинтересует