• Предмет: Алгебра
  • Автор: rogatingoshaow9r8l
  • Вопрос задан 3 года назад

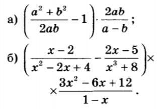
Упростите выражения! Заранее спасибо. Обновите страничку и появится скрин!

Приложения:

Ответы

Ответ дал: hubabuba14
1
вот, фото на фотографией, чееек
Приложения:
Вас заинтересует