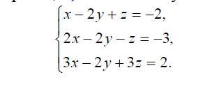
Решить систему линейных уравнений при
помощи обратной матрицы, расписать нужно подробно. Спасибо)
Приложения:

Ответы
Ответ дал:
1
Ответ:
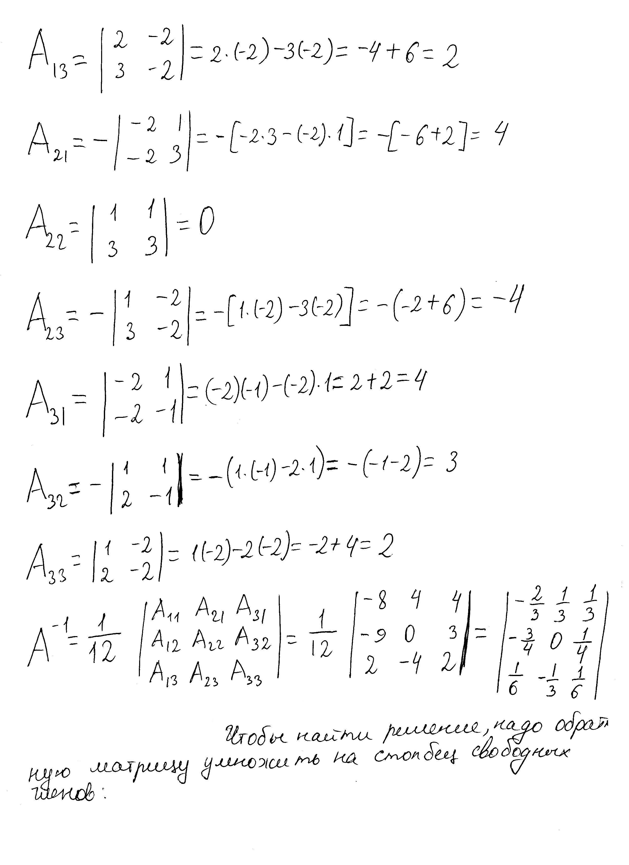
(1; 2; 1) Решение в приложении
Объяснение:
Приложения:



Вас заинтересует
2 года назад
2 года назад
2 года назад
7 лет назад
7 лет назад