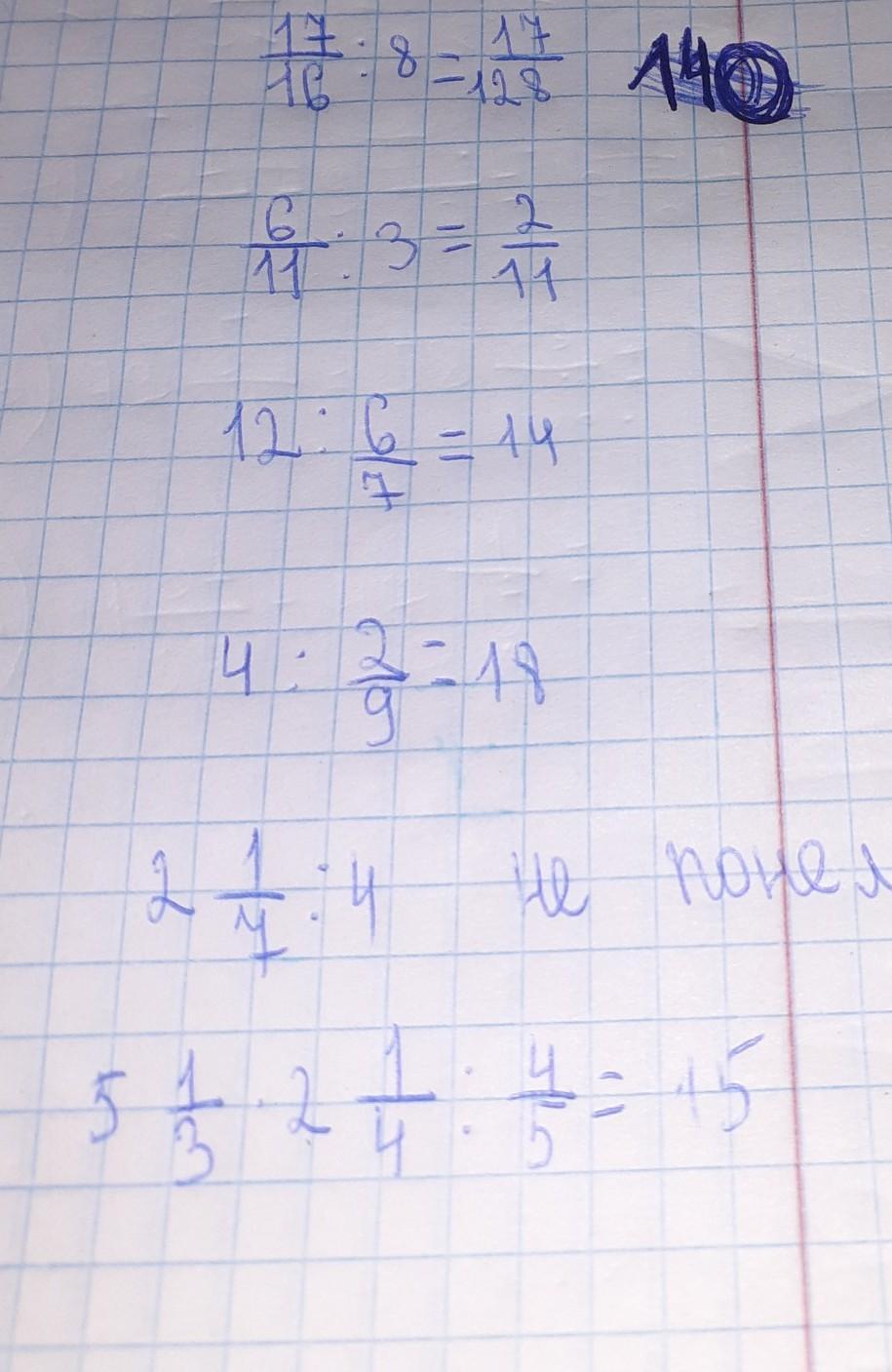
16/17:8.
6/11:3
12:6/7
4:2/9
2 1/7:4 1/6*2 1/3
5 1/3*2 1/4 : 4/5 умоляю помогите¡!!!!!!! Прошу
PabloBadlion:
прошу помогите я просто на коленях встану ну помогите пж!
Ответы
Ответ дал:
1
вот....... ответ....
Приложения:

Вас заинтересует
2 года назад
2 года назад
2 года назад
2 года назад
7 лет назад
7 лет назад
9 лет назад