• Предмет: Математика
  • Автор: vivito8308
  • Вопрос задан 3 года назад

Помогите пожалуйсто,срочно
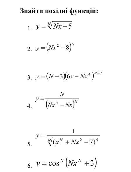
вместо N нужно подставить цифру 8
(N=8)

Приложения:

Ответы

Ответ дал: Miroslava227
1

Ответ:

1)y =  \sqrt[8]{8x + 5}  \\ y' =  \frac{1}{8}  {(8x + 5)}^{ -  \frac{7}{8} }  \times 8 =  \frac{1}{ \sqrt[8]{ {(8x + 5)}^{7} } }

2)y =  {(8 {x}^{2} - 8) }^{8}  \\ y' = 8 {(8 {x}^{2}  - 8)}^{7}  \times 16x = 128x {(8 {x}^{2}  - 8)}^{7}

3)y = 5 (6x - 8 {x}^{4}) \\ y' = 5(6 - 32 {x}^{3} ) = 30 - 160 {x}^{3}

4)y =  \frac{8}{ {(8 {x}^{8} - 8x) }^{8} }  \\ y' = 8 \times ( - 8) {(8 {x}^{8} - 8x) }^{ - 9}  \times (64 {x}^{7}  - 8) =  \frac{ - 64(64 {x}^{7}  - 8)}{ {(8 {x}^{8} - 8x) }^{9} }

5)y =  \frac{1}{ \sqrt[8]{ {( {x}^{8} + 8 {x}^{2}  - 7) }^{5} } }  \\ y' =  -  \frac{5}{8}  {( {x}^{8}  + 8 {x}^{2} - 7) }^{ -  \frac{13}{8} }  \times (8 {x}^{7}  + 16x) =  \frac{ - 5 \times 8( {x}^{7} + 2x) }{8 \sqrt[8]{ {( {x}^{8} + 8 {x}^{2} + 7)  }^{13} } }  =  \frac{ - 5( {x}^{7}   + 2x)}{ \sqrt[8]{ {( {x}^{8} + 8 {x}^{2} - 7)  }^{13} } }

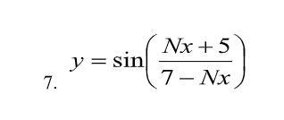
7)y =  \sin( \frac{8x + 5}{7 -8x } ) \\ y' =  \cos( \frac{8x + 5}{7 - 8x} )  \times ( \frac{8(7 - 8x) + 8(8x  + 5)}{ {(7 - 8x)}^{2} })   =  \cos( \frac{8x + 5}{7 - 8x} )  \times ( \frac{56 - 64x + 64x + 40}{ {(7 - 8x)}^{2} }  =  \cos( \frac{8x + 5}{7 - 8x} )  \times  \frac{96}{ {(7 - 8x)}^{2} }


vivito8308: Спасибо огромне!
Вас заинтересует