• Предмет: Математика
  • Автор: anabelfett
  • Вопрос задан 3 года назад

Помогите решить.. Очень срочно..

Приложения:

Ответы

Ответ дал: Miroslava227
1

Ответ:

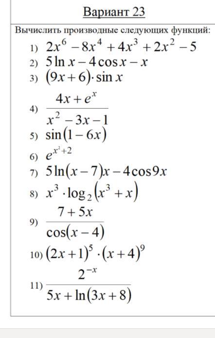
1)y' = 12 {x}^{5}  - 32 {x}^{3}  + 12 {x}^{2}  + 4x

2)y' =  \frac{5}{x}  + 4 \sin(x)  - 1

3)y' = 9 \sin(x)  + (9x + 6) \cos(x)

4)y' =  \frac{(4 +  {e}^{x})( {x}^{2}  - 3x - 1) - (2x - 3)(4x +  {e}^{x})  }{ {( {x}^{2} - 3x - 1) }^{2} }  =  \frac{4 {x}^{2} - 12x - 4 +  {x}^{2}  {e}^{x}  - 3x {e}^{x} -  {e}^{x}   - 8 {x}^{2} - 2x {e}^{x}  + 12x + 3 {e}^{x}   }{ {( {x}^{2} - 3x - 1) }^{2} }  =  \frac{ - 4 {x}^{2} +  {x}^{2} {e}^{x}  - 5x {e}^{x}   - 4 + 2  {e}^{x}   }{ {( {x}^{2}  - 3x - 1) }^{2} }  =  \frac{ {e}^{x}( {x}^{2}  - 5x + 2) - 4(1 +  {x}^{2} )  }{ {( {x}^{2} - 3x - 1) }^{2} }

5)y' =  \cos(1 - 6x)  \times ( - 6) =  - 6 \cos(1 - 6x)

6)y' = 2x {e}^{ {x}^{2}  + 2}

7)y' =  \frac{5x}{x - 7}  + 5 ln(x - 7)  + 36 \sin(9x)

8)y' = 3 {x}^{2}  log_{2}( {x}^{3} + x )   +  {x}^{3}  \times  \frac{1}{ ln(2)  \times ( {x}^{3} + x) }  \times (3 {x}^{2}  + 1) = 3 {x}^{2}  log_{2}( {x}^{3}  + x)  +  \frac{ {x}^{3}(3 {x}^{2}  + 1) }{ ln(2)  \times x( {x}^{2}  + 1)}  = 3 {x}^{2}  log_{2}( {x}^{3}  + x) +  \frac{ {x}^{2}(3 {x}^{2}  + 1) }{( {x}^{2}  + 1) ln(2) }

9)y' =  \frac{5 \cos(x - 4) + (7 + 5x) \sin(x - 4)  }{ { \cos(x - 4) }^{2} }

10)y' = 5 {(2x + 1)}^{4}  \times 2 \times  {(x + 4)}^{9}  + 9 {(x + 4)}^{8}  {(2x + 1)}^{5}  =  {(2x + 1)}^{4}  {(x + 4)}^{8} (10(x + 4) + 9(2x + 1)) =  {(2x + 1)}^{4}  {(x + 4)}^{8}(10x + 40 + 18x + 9) =  {(2x + 1)}^{4}  {(x + 4)}^{8}(28x + 49)

11)y' =  \frac{  - ln(2) \times  {2}^{ - x}(5x +   ln(3x + 8)) - (5 +  \frac{3}{3x + 8}   ) {2}^{ - x}  }{ {(5x +  ln(3x + 8)) }^{2} }  =  \frac{ {2}^{ - x} ( -  ln(2)(5x +   ln(3x + 8) - (5 +  \frac{3}{3x + 8} ))   }{ {(5x +  ln(3x + 8)) }^{2} }

Вас заинтересует