• Предмет: Информатика
  • Автор: AndrejShilov
  • Вопрос задан 3 года назад

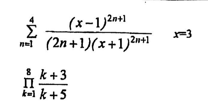
Помогите, пожалуйста, написать программу в Паскале для данного задания. Необходимо вычислить сумму и произведение.
Даю максимальное количество баллов. Пожалуйста, помогите!

Приложения:

Ответы

Ответ дал: BobbyFresnel
1

##

var x := 3;

(1..4).Select(n -> ((x-1)/(x+1)) ** (2 * n + 1) / (2 * n + 1)).Sum.Print;

(1..8).Select(k -> (k+3)/(k+5)).Product.Print

Приложения:

AndrejShilov: Можете, пожалуйста, поподробнее объяснить?
Вас заинтересует