• Предмет: Алгебра
  • Автор: 556789100niks
  • Вопрос задан 3 года назад

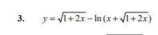
Найти дифференциал dy :

Приложения:

giperkip: Просто найти производную и допиши dy

Ответы

Ответ дал: Miroslava227
2

Ответ:

y =  \sqrt{1 + 2x}  -  ln(x +  \sqrt{1 + 2x} )

y' =  \frac{1}{2}  {(1 + 2x)}^{ -  \frac{1}{2} }  \times 2 -  \frac{1}{x +  \sqrt{1 + 2x} }  \times (1 +  \frac{1}{2}  {(1 + 2x)}^{ \frac{ - 1}{2} }  \times 2) =  \frac{1}{ \sqrt{1 + 2x} }  -  \frac{1}{x +  \sqrt{1 + 2x} }  \times (1 +  \frac{1}{ \sqrt{1 + 2x} }  =  \frac{1}{ \sqrt{1 + 2x} }  -  \frac{1 +  \frac{1}{ \sqrt{1 + 2x} } }{x +  \sqrt{1 + 2x} }

dy =( \frac{1}{ \sqrt{1 + 2x} }  -  \frac{1 +  \frac{1}{ \sqrt{1 + 2x} } }{x +  \sqrt{1 + 2x} } )dx


giperkip: А ты случаем в начерталке не шаришь?
Miroslava227: неа)
Вас заинтересует