Ответы
Ответ дал:
0
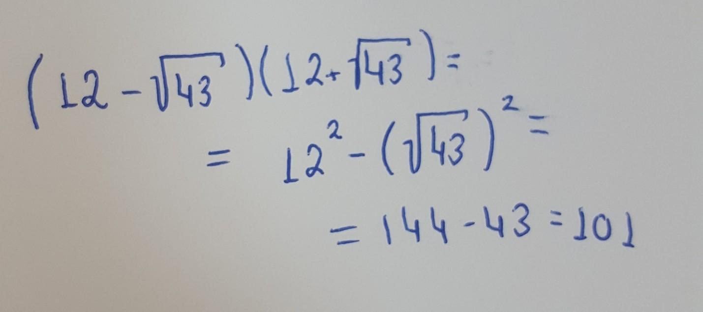
Ответ:
-(43 sqrt(x) - 12) (43 sqrt(x) + 12)
Пошаговое объяснение:
Приложения:

golubgolubkin:
получается от -0.1 до 0.1 да?
Ответ дал:
0
Пошаговое объяснение:
решен4и на фотке..........
Приложения:

Вас заинтересует
2 года назад
9 лет назад