• Предмет: Математика
  • Автор: romatuleibych8
  • Вопрос задан 3 года назад

помогите математика​

Приложения:

Ответы

Ответ дал: rexzyyy
1

Ответ:

x = \frac{41}{5} или 8\frac{1}{5} или 8,2

Пошаговое объяснение:

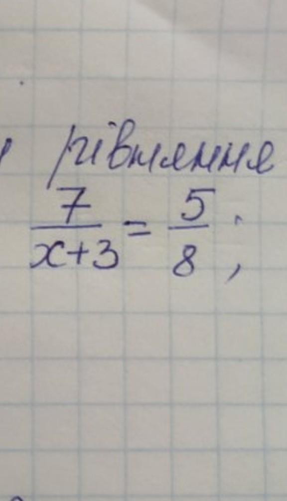
\frac{7}{x+3} = \frac{5}{8}

\frac{7}{x+3} = \frac{5}{8} , x \neq -3

56=5(x+3)

56=5x+15

-5x=15-56

-5x=-41

x = \frac{41}{5} , x \neq -3

x = \frac{41}{5} или 8\frac{1}{5} или 8,2


romatuleibych8: да я все зделал и у меня получмлось
8
5
1
​ спасибо
Вас заинтересует