• Предмет: Химия
  • Автор: anutalagoda2006
  • Вопрос задан 3 года назад

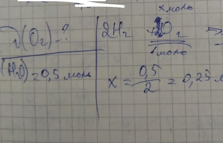
Какое количество вещества кислорода потребуется для горения водорода (H2), чтобы образовалось 0,5 моль воды (H2O)?

Ответы

Ответ дал: katyatrigub04
2

Ответ:

на фото розв'язала))

Объяснение:

❤️

Приложения:

anutalagoda2006: Очень благодарна!!!
katyatrigub04: ❤️
katyatrigub04: если надо помощь с химией- обращайся
katyatrigub04: инст- kateryna_tryhub аниме девка на аве
anutalagoda2006: Хорошо, спасибо!
Вас заинтересует