• Предмет: Математика
  • Автор: bibaevrustam
  • Вопрос задан 3 года назад

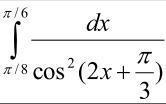
Вычислить определенный интеграл методом подстановки

Приложения:

Ответы

Ответ дал: МатематическийМозг
1

Формулы, которые использовались в решение:

\displaystyle \int \frac{dx}{cos^2x} =tg\,x+C\\\\\\tg(a+b)=\frac{tg(a)+tg(b)}{1-tg(a)tg(b)}\\\\\\tg \frac{2\pi }{3} =-\sqrt{3} \\\\\\tg \frac{\pi }{3}=\sqrt{3} \\\\\\tg \frac{\pi }{4}=1

Решение:

\displaystyle \int\limits^{\pi/6}_ {\pi/8} \,\frac{dx}{cos^2(2x+\frac{\pi}{3}) }=\int\limits^{\pi/6}_ {\pi/8} \,\frac{d(x\times\frac{2}{2})  }{cos^2(2x+\frac{\pi}{3}) }=\\\\\\=\frac{1}{2} \int\limits^{\pi/6}_ {\pi/8} \,\frac{d(2x+\frac{\pi}{3})  }{cos^2(2x+\frac{\pi}{3}) }=\bigg|\overset{\big{t=2x+\pi/3}}{\underset{\big{x=\pi/8\,;\quad t=\pi/4+\pi/3={\frac{7\pi}{12}} }}{\big{x=\pi/6\,;\quad  t=\pi/3+\pi/3=\frac{2\pi}{3}}}}\bigg|=

\displaystyle= \frac{1}{2} \int\limits^{{2\pi/3}}_ {7\pi/12} \,\frac{dt  }{cos^2(t) }=\frac{1}{2} (tg(t))\bigg|^{\big{2\pi/3}}_{\big{7\pi/12}}=\frac{1}{2}\bigg (tg\frac{2\pi }{3} -tg\frac{7\pi }{12} \bigg)=\\\\\\=\frac{1}{2} \bigg(-\sqrt{3} -tg\bigg(\frac{\pi }{4}+\frac{\pi}{3} \bigg{)\bigg)}=\frac{1}{2} \bigg(-\sqrt{3} -\frac{tg\frac{\pi }{4}+tg\frac{\pi}{3} }{1-tg\frac{\pi}{4}tg\frac{\pi}{3}  }\bigg) =

\displaystyle- \frac{1}{2} \bigg(^{1-\sqrt{3}\big/ }\sqrt{3} +\frac{1+\sqrt{3} }{1-\sqrt{3}   }\bigg)=-\frac{1}{2} \bigg(\frac{\sqrt{3}-3 }{1-\sqrt{3}} +\frac{1+\sqrt{3} }{1-\sqrt{3}   }\bigg)=\\\\\\=-\frac{1}{2}\times\frac{2\sqrt{3}-2 }{1-\sqrt{3}}=-\frac{1}{2}\times\frac{-2(1-\sqrt{3}) }{1-\sqrt{3}}=1

Ответ: 1

Вас заинтересует