• Предмет: Математика
  • Автор: PunxCrazY
  • Вопрос задан 3 года назад

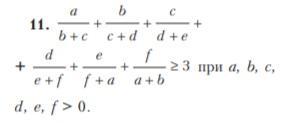
Докажите неравенство

Приложения:

Ответы

Ответ дал: markashaiala
0

Ответ: я не понела прости

Пошаговое объяснение:

Вас заинтересует